通知公告
位置: 首页 >> 通知公告 >> 正文
通知公告

公示

发表于: 2021-09-18 20:59:24 点击:

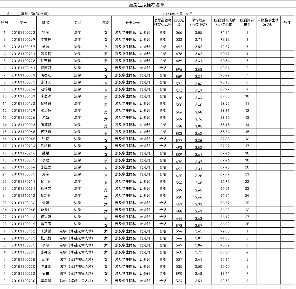
根据教育部相关文件精神,公司按照《williamhill英国官网2022年推荐优秀应届本科毕业生免试攻读研究生工作管理办法》要求,在员工本人申请、民主推荐、公开评选的基础上,公司推免生遴选工作小组本着公开、公平、公正的原则,严格按推荐条件择优确定初选名单,现将公司2022年免试攻读研究生拟推荐名单公示如下。如有异议,请于9月24日前到公司办公室反映,联系电话:65036550。







 

版权所有:英国·威廉希尔(WilliamHill)中文官网-Official Website
地址:昆明市呈贡区大学城williamhill英国官网(呈贡校区)法学楼
邮件:lawschool@ynu.edu.cn
电话:65033171(党政办),65935848(学工办、团委),65036550(教务办),65033627(研究生办),65031120(培训中心)
位置:点击查看
技术支持:williamhill英国官网信息技术中心